西安理工大学2026年博士研究生拟录取名单公示(第一批)
2026-03-04
8499

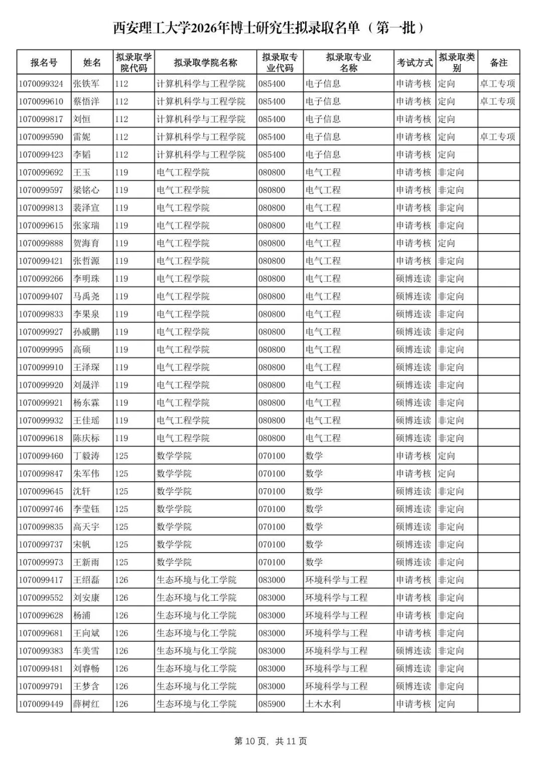
根据教育部相关文件及我校2026年第一批博士研究生招生工作方案,结合各学院博士招生工作细则,现将我校2026年博士研究生第一批拟录取名单予以公示。公示期间,如对拟录取名单有异议,请在公示期内书面与相关学院或与我校研招办联系(研招办联系电话:029-82312406、82312416;邮箱:Yjsb@xaut.edu.cn)。最终录取名单以教育部审核结果为准。











